英国beat365官方网站入口(中国)官方在线登录
EN
首页
关于我们
公司简介
领导团队
组织机构
资质荣誉
公司要闻
公司新闻
专题专栏
公司公告
招标采购
党建工作
党的建设
纪检监察
群团工作
专题专栏
举报信箱
产品展示
化工产品
化纤产品
新材料产品
新型建材产品
产品认证
企业文化
企业文化
文体活动
先模人物
社会责任
社会公益
安全生产
生态文明
社会责任
上市公司
业务公告
信息公开
企业信息
经济信息
“三重一大”事项
社会责任履行
整改落实情况
企业党建
有关部门其他事项
信息公开制度
各级子企业信息公开
人力资源
人才招聘
人才战略
联系我们
公司公告
公司新闻
专题专栏
公司公告
招标采购
首页
>
公司要闻
>
公司公告
>
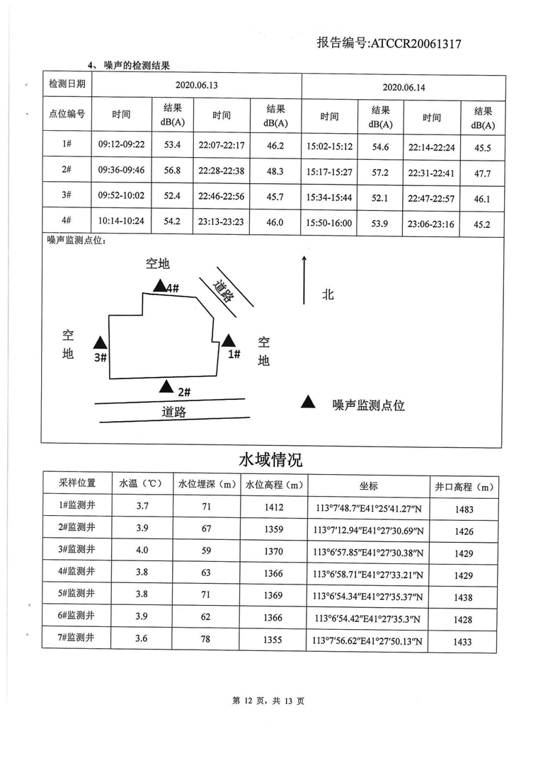
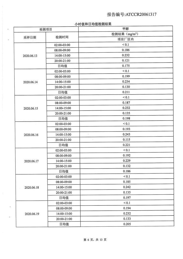
蒙维现状检测报告
蒙维现状检测报告
发布人:admin
发布时间:2021-01-22 06:40:44
浏览次数:
分享至:
蒙维现状检测报告
上一篇:英国beat365官方网站入口公司2020年环境报告书
下一篇:英国beat365官方网站入口排查和监测报告